土壤盐渍化是陆地生态系统的主要环境威胁。地衣作为真菌和藻类的共生体,对包括盐碱地在内的多种极端环境具有高耐受性。但截至目前对地衣共生伙伴在盐碱条件下的单独耐受力缺乏足够的了解。
近期,中国科学院微生物研究所魏江春团队以纯培养的地衣共生菌和共生藻为研究对象,通过改变不同浓度的NaHCO3来模拟盐碱环境,对其在盐碱环境下的生理活性及耐受力进行了研究,发现在盐碱环境下,柯氏复球藻Diplosphaera chodatii(土生地衣石果衣Endocarpon pusillum的共生藻)和共球藻Trebouxia jamesii(石生地衣放射盘石耳Umbilicaria muhlenbergii的共生藻)与其相应的共生菌生长速率和生物量均降低,细胞活性和超微结构在一定程度上受到影响(图1、图2)。

图1. 柯氏复球藻和共球藻及其共生菌石果衣和放射盘石耳 在含有NaHCO3的培养基中的存活能力结果

图2. 柯氏复球藻和共球藻及其共生菌石果衣和放射盘石耳在含有NaHCO3的培养基中的细胞活性
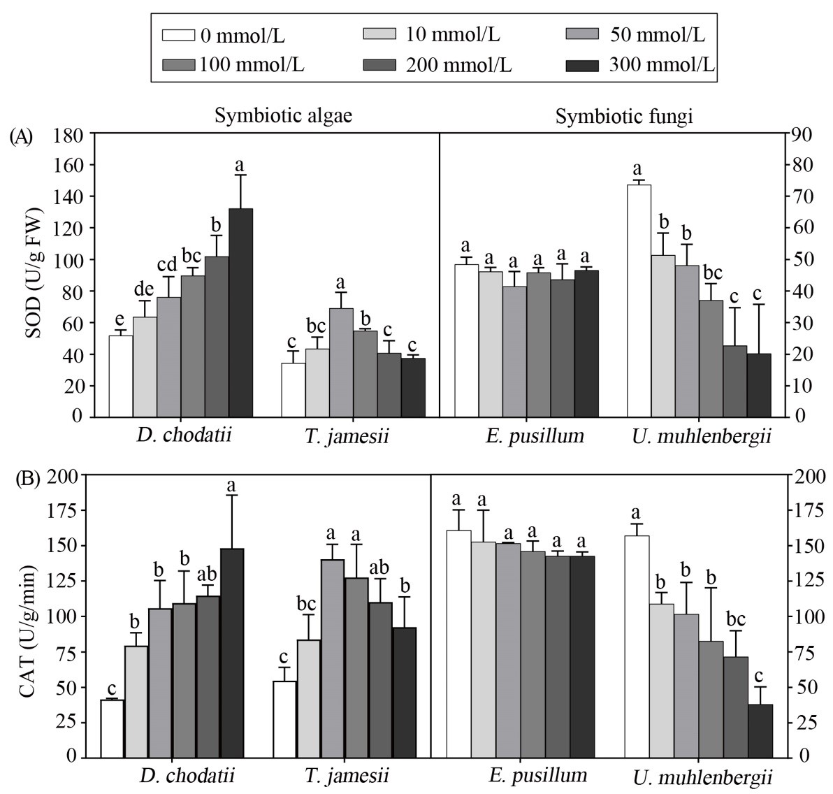
但与共生菌相比,共生藻在盐碱胁迫下能更积极地协调氧化应激和脂质过氧化损伤反应,这种协调能力在沙漠来源的柯氏复球藻中表现得尤为明显(图3、图4)。

图3. 柯氏复球藻和共球藻及其共生菌石果衣和放射盘石耳 在含有 NaHCO3的培养条件下的抗氧化酶活性

图4. 柯氏复球藻和共球藻在含有NaHCO3的培养条件下的叶绿素稳定性(CSI)
以往干旱胁迫研究表明,与石果衣相比柯氏复球藻具有更高的耐旱能力,而本研究显示柯氏复球藻相比石果衣的耐盐碱能力更强。因此可推测,在干旱盐碱沙漠,地衣的独特生存能力得益于共生菌藻对不同逆境因子抵抗能力的综合效应。该研究为理解地衣对盐碱沙漠的适应性及其在盐碱地生态恢复中的应用提供了新见解。
9月2日,该研究成果在线发表在Physiologia Plantarum上。新疆大学客座研究生李碧庭为本文第一作者,微生物所魏鑫丽项目研究员和王延延副研究员为本文共同通讯作者。
原文链接:http://dx.doi.org/10.1111/ppl.14510
附件下载: